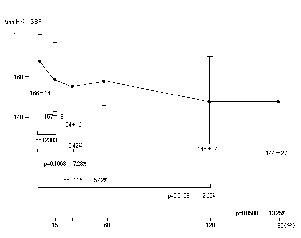
Fig.2 Effect of the natto extract on blood pressure of rats The tail artery blood pressure was measured using MODEL MK-1100 (Muromachi kikai CO. LTD) under awake condition3).